The arithmetic series sum formula is a fundamental concept in mathematics, used to calculate the sum of a sequence of numbers in which the difference between consecutive terms is constant. This formula has numerous applications in various fields, including physics, engineering, economics, and computer science. In this article, we will delve into the arithmetic series sum formula, its derivation, and its applications, providing a comprehensive understanding of this essential mathematical concept.
Derivation of the Arithmetic Series Sum Formula

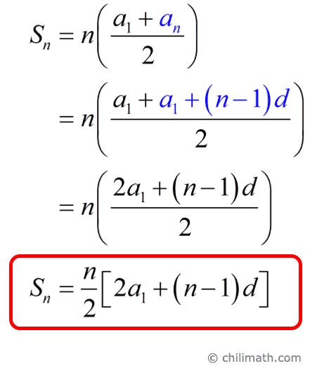
The arithmetic series sum formula is derived from the basic principles of arithmetic sequences. An arithmetic sequence is a sequence of numbers in which the difference between consecutive terms is constant. For example, the sequence 2, 5, 8, 11,… is an arithmetic sequence with a common difference of 3. To calculate the sum of an arithmetic series, we can use the formula: S = n/2 * (a1 + an), where S is the sum of the series, n is the number of terms, a1 is the first term, and an is the last term.
Proof of the Arithmetic Series Sum Formula
To prove the arithmetic series sum formula, let’s consider an arithmetic sequence with n terms, where the first term is a1 and the last term is an. We can write the sequence as: a1, a2, a3,…, an. The sum of this sequence can be written as: S = a1 + a2 + a3 +… + an. By rearranging the terms, we can rewrite the sum as: S = (a1 + an) + (a2 + an-1) + (a3 + an-2) +… + (an/2 + an/2). Since the sequence is arithmetic, the sum of each pair of terms is equal to the sum of the first and last terms. Therefore, we can simplify the sum to: S = n/2 * (a1 + an).
| Formula Component | Description |
|---|---|
| S | Sum of the arithmetic series |
| n | Number of terms in the series |
| a1 | First term of the series |
| an | Last term of the series |

Applications of the Arithmetic Series Sum Formula

The arithmetic series sum formula has numerous applications in various fields. In physics, it is used to calculate the distance traveled by an object under constant acceleration. In engineering, it is used to calculate the total cost of a project with a series of evenly spaced payments. In economics, it is used to calculate the total revenue of a company with a series of evenly spaced sales. In computer science, it is used to calculate the sum of a sequence of numbers in a program.
Real-World Examples of the Arithmetic Series Sum Formula
For example, suppose we want to calculate the total cost of a loan with a series of monthly payments. If the loan has a principal amount of 10,000, an interest rate of 6%, and a term of 5 years, we can use the arithmetic series sum formula to calculate the total cost of the loan. First, we need to calculate the monthly payment amount, which is 193.79. Then, we can use the formula to calculate the total cost of the loan: S = n/2 * (a1 + an), where n is the number of payments (60), a1 is the first payment amount (193.79), and an is the last payment amount (193.79). Plugging in the values, we get: S = 60⁄2 * (193.79 + 193.79) = $11,627.40.
Key Points
- The arithmetic series sum formula is used to calculate the sum of a sequence of numbers in which the difference between consecutive terms is constant.
- The formula is derived from the basic principles of arithmetic sequences and is proved using the rearrangement of terms.
- The formula has numerous applications in various fields, including physics, engineering, economics, and computer science.
- Real-world examples of the arithmetic series sum formula include calculating the total cost of a loan, the distance traveled by an object under constant acceleration, and the total revenue of a company with a series of evenly spaced sales.
- The formula is a powerful tool for calculating the sum of a sequence of numbers and has a wide range of applications in mathematics and other fields.
Common Misconceptions about the Arithmetic Series Sum Formula
One common misconception about the arithmetic series sum formula is that it can only be used to calculate the sum of a sequence of numbers with a small number of terms. However, the formula can be used to calculate the sum of a sequence with any number of terms, as long as the difference between consecutive terms is constant. Another misconception is that the formula is only used in mathematics, but it has a wide range of applications in various fields.
Limitations of the Arithmetic Series Sum Formula
While the arithmetic series sum formula is a powerful tool for calculating the sum of a sequence of numbers, it has some limitations. For example, it can only be used to calculate the sum of a sequence with a constant difference between consecutive terms. If the difference between consecutive terms is not constant, the formula cannot be used. Additionally, the formula assumes that the sequence has a finite number of terms. If the sequence has an infinite number of terms, the formula cannot be used.
What is the arithmetic series sum formula?
+The arithmetic series sum formula is a formula used to calculate the sum of a sequence of numbers in which the difference between consecutive terms is constant. The formula is: S = n/2 * (a1 + an), where S is the sum of the series, n is the number of terms, a1 is the first term, and an is the last term.
How is the arithmetic series sum formula derived?
+The arithmetic series sum formula is derived from the basic principles of arithmetic sequences. The formula is proved using the rearrangement of terms.
What are the applications of the arithmetic series sum formula?
+The arithmetic series sum formula has numerous applications in various fields, including physics, engineering, economics, and computer science. It is used to calculate the sum of a sequence of numbers in which the difference between consecutive terms is constant.
What are the limitations of the arithmetic series sum formula?
+The arithmetic series sum formula has some limitations. It can only be used to calculate the sum of a sequence with a constant difference between consecutive terms. If the difference between consecutive terms is not constant, the formula cannot be used. Additionally, the formula assumes that the sequence has a finite number of terms. If the sequence has an infinite number of terms, the formula cannot be used.
How do I calculate the sum of an arithmetic series using the formula?
+To calculate the sum of an arithmetic series using the formula, you need to know the number of terms (n), the first term (a1), and the last term (an). Then, you can plug these values into the formula: S = n/2 * (a1 + an).
Meta description suggestion: “Learn about the arithmetic series sum formula, its derivation, and its applications in various fields. Understand how to calculate the sum of a sequence of numbers using this powerful tool.” (151 characters)