A Non-Disclosure Agreement (NDA) is a legally binding contract between two or more parties that outlines the terms for sharing confidential information. The primary purpose of an NDA is to protect sensitive information, such as trade secrets, business strategies, or technical data, from being disclosed to unauthorized parties. In this article, we will delve into the world of NDAs, exploring their significance, components, and implications.
Understanding the Purpose of a Non-Disclosure Agreement

NDAs are essential in various business settings, including partnerships, mergers and acquisitions, and employment contracts. They establish a level of trust between parties, ensuring that confidential information is shared securely. By signing an NDA, parties acknowledge their responsibility to maintain the confidentiality of the shared information and agree to take reasonable measures to prevent unauthorized disclosure.
Key Components of a Non-Disclosure Agreement
A standard NDA template typically includes the following components:
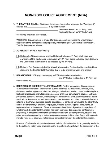
- Definition of Confidential Information: A clear description of the type of information that is considered confidential, such as trade secrets, business strategies, or technical data.
- Obligations of the Receiving Party: The responsibilities of the party receiving the confidential information, including the duty to maintain confidentiality and limit access to authorized personnel.
- Exclusions: Exceptions to the confidentiality obligations, such as information that is already publicly available or was known to the receiving party prior to disclosure.
- Term and Termination: The duration of the agreement and the conditions for termination, including the return or destruction of confidential information.
- Remedies: The consequences of breaching the agreement, including injunctive relief and damages.
| Component | Description |
|---|---|
| Confidential Information | Trade secrets, business strategies, technical data |
| Obligations of the Receiving Party | Maintain confidentiality, limit access to authorized personnel |
| Exclusions | Publicly available information, prior knowledge |
| Term and Termination | Duration of the agreement, conditions for termination |
| Remedies | Injunctive relief, damages |

Types of Non-Disclosure Agreements

There are several types of NDAs, each serving a unique purpose:
Unilateral NDA
A unilateral NDA is a one-way agreement, where one party shares confidential information with another party. This type of NDA is commonly used in business partnerships, employment contracts, and consulting agreements.
Bilateral NDA
A bilateral NDA is a two-way agreement, where both parties share confidential information with each other. This type of NDA is often used in joint ventures, mergers and acquisitions, and collaborative research projects.
Multilateral NDA
A multilateral NDA is a multi-party agreement, where three or more parties share confidential information with each other. This type of NDA is typically used in complex business transactions, such as joint ventures or partnerships involving multiple stakeholders.
Key Points
- A Non-Disclosure Agreement (NDA) is a legally binding contract that protects confidential information.
- NDAs are essential in business settings, including partnerships, mergers and acquisitions, and employment contracts.
- A standard NDA template includes components such as definition of confidential information, obligations of the receiving party, exclusions, term and termination, and remedies.
- There are several types of NDAs, including unilateral, bilateral, and multilateral agreements.
- A well-crafted NDA can provide valuable protection for confidential information and help build trust between business partners.
Best Practices for Drafting a Non-Disclosure Agreement
When drafting an NDA, it is essential to consider the following best practices:
Clearly Define Confidential Information
The NDA should clearly define what constitutes confidential information, including trade secrets, business strategies, and technical data.
Establish Reasonable Obligations
The receiving party’s obligations should be reasonable and aligned with the level of risk associated with the shared information.
Incorporate Exclusions
The NDA should include exceptions to the confidentiality obligations, such as information that is already publicly available or was known to the receiving party prior to disclosure.
Specify the Term and Termination
The NDA should clearly outline the duration of the agreement and the conditions for termination, including the return or destruction of confidential information.
Include Remedies
The NDA should specify the consequences of breaching the agreement, including injunctive relief and damages.
What is the purpose of a Non-Disclosure Agreement?
+The primary purpose of an NDA is to protect sensitive information, such as trade secrets, business strategies, or technical data, from being disclosed to unauthorized parties.
What are the key components of a Non-Disclosure Agreement?
+A standard NDA template typically includes components such as definition of confidential information, obligations of the receiving party, exclusions, term and termination, and remedies.
What are the different types of Non-Disclosure Agreements?
+There are several types of NDAs, including unilateral, bilateral, and multilateral agreements, each serving a unique purpose.
In conclusion, a Non-Disclosure Agreement is a vital tool for protecting confidential information in business settings. By understanding the purpose, components, and types of NDAs, parties can ensure that their sensitive information is shared securely and that their interests are protected. When drafting an NDA, it is essential to consider the specific needs and circumstances of the parties involved and to incorporate best practices, such as clearly defining confidential information, establishing reasonable obligations, and specifying the term and termination.
Meta Description: A Non-Disclosure Agreement (NDA) is a legally binding contract that protects confidential information. Learn about the purpose, components, and types of NDAs, and discover best practices for drafting an effective agreement.