The arithmetic explicit formula, also known as the explicit formula for an arithmetic sequence, is a mathematical formula that allows us to find the nth term of an arithmetic sequence without having to find all the preceding terms. An arithmetic sequence is a sequence of numbers in which the difference between any two consecutive terms is constant. This constant difference is called the common difference.
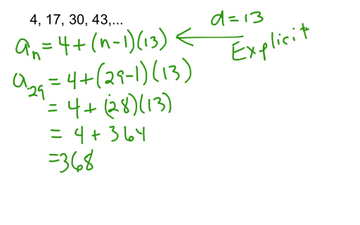
In an arithmetic sequence, the first term is denoted by 'a' and the common difference is denoted by 'd'. The arithmetic explicit formula is given by: an = a + (n - 1) * d, where 'an' is the nth term of the sequence. This formula is derived from the fact that to get to the nth term, we start with the first term 'a' and add the common difference 'd' a total of (n - 1) times.
Key Points
- The arithmetic explicit formula is used to find the nth term of an arithmetic sequence.
- The formula is given by: an = a + (n - 1) * d, where 'a' is the first term and 'd' is the common difference.
- This formula allows us to calculate any term of the sequence directly, without needing to calculate all the preceding terms.
- Arithmetic sequences have a constant difference between consecutive terms, which is denoted by 'd'.
- The formula is essential in various mathematical and real-world applications, including algebra, geometry, and data analysis.
Understanding the Arithmetic Explicit Formula

The arithmetic explicit formula is straightforward to apply once the first term ‘a’ and the common difference ’d’ are known. For example, if we have an arithmetic sequence where the first term ‘a’ is 2 and the common difference ’d’ is 3, we can find the 5th term of the sequence using the formula: a5 = 2 + (5 - 1) * 3.
Plugging in the values, we get a5 = 2 + (4) * 3 = 2 + 12 = 14. Therefore, the 5th term of this arithmetic sequence is 14. This demonstrates how the arithmetic explicit formula simplifies the process of finding any term in an arithmetic sequence.
Derivation of the Arithmetic Explicit Formula
The derivation of the arithmetic explicit formula can be understood by considering how an arithmetic sequence progresses. Starting from the first term ‘a’, to get to the second term, we add ’d’. For the third term, we add ’d’ again to the second term, which is equivalent to adding 2*d to the first term. Following this pattern, to get to the nth term, we add (n - 1) times the common difference ’d’ to the first term ‘a’.
This logical progression leads to the formula an = a + (n - 1) * d, which encapsulates the essence of arithmetic sequences and provides a direct method for calculating any term without needing to calculate all preceding terms. The formula's simplicity and utility make it a fundamental tool in mathematics and its applications.
| Term Number | Formula Application | Result |
|---|---|---|
| 1st term | a + (1 - 1) * d = a | a |
| 2nd term | a + (2 - 1) * d = a + d | a + d |
| 3rd term | a + (3 - 1) * d = a + 2d | a + 2d |
| nth term | a + (n - 1) * d | a + (n - 1) * d |

Applications of the Arithmetic Explicit Formula

The arithmetic explicit formula has numerous applications in mathematics and real-world problems. In finance, it can be used to calculate the future value of an investment with regular deposits or the total amount paid over the life of a loan with equal monthly payments. In physics, it can model the motion of an object under constant acceleration, where the position of the object at any time can be calculated using an arithmetic sequence.
In computer science, the formula is used in algorithms for generating arithmetic sequences, which can be applied in various programming tasks. The formula's simplicity and directness make it an essential tool for solving problems that involve sequences with a constant difference between terms.
Limitations and Considerations
While the arithmetic explicit formula is powerful and widely applicable, it is limited to arithmetic sequences. For sequences where the difference between terms is not constant (such as geometric sequences), different formulas and approaches are required. Additionally, in real-world applications, sequences may not always follow a perfectly arithmetic pattern due to external factors or complexities.
Therefore, it's crucial to understand the underlying nature of the sequence or problem being modeled to ensure the appropriate application of the arithmetic explicit formula. Moreover, the formula assumes that the sequence starts from a defined first term and that the common difference is constant, which may not always be the case in practical scenarios.
What is the primary use of the arithmetic explicit formula?
+The primary use of the arithmetic explicit formula is to find the nth term of an arithmetic sequence directly, without needing to calculate all the preceding terms.
How is the arithmetic explicit formula derived?
+The arithmetic explicit formula is derived by considering the pattern of adding the common difference 'd' to the first term 'a' to get to any term in the sequence. The number of times 'd' is added depends on the term number, leading to the formula an = a + (n - 1) * d.
What are some real-world applications of the arithmetic explicit formula?
+The arithmetic explicit formula has applications in finance (such as calculating future investments or loan payments), physics (modeling motion under constant acceleration), and computer science (generating arithmetic sequences in programming).
In conclusion, the arithmetic explicit formula is a fundamental concept in mathematics that provides a direct and efficient method for finding any term in an arithmetic sequence. Its derivation, application, and limitations are essential to understand for effective use in various mathematical and real-world contexts. By grasping the arithmetic explicit formula, individuals can better analyze and solve problems involving sequences with a constant difference between terms, making it a crucial tool in the toolkit of anyone working with mathematical sequences and series.